Bạn chưa đăng nhập. Vui lòng đăng nhập để hỏi bài

Những câu hỏi liên quan
Hoan Lan
Xem chi tiết
Khinh Yên
6 tháng 8 2021 lúc 14:37

b c c b c c a d a

Hquynh
6 tháng 8 2021 lúc 14:37

C C B C C A D A

Lavili
6 tháng 8 2021 lúc 14:39

trả lời là :

b, c, c, b, c, c, a, d, a

Ngọc Nguyễn
Xem chi tiết
Nguyễn Lê Phước Thịnh
17 tháng 12 2021 lúc 20:14

Bài 2: 

b: =>(x-5)(x+3)=0

hay x=5 hoặc x=-3

Chúa hề
Xem chi tiết
Nguyễn Khánh Quỳnh
Xem chi tiết
Dzịt
5 tháng 12 2021 lúc 14:48

C A B C D C B C A D 

haitani anh em
Xem chi tiết
Tryechun🥶
26 tháng 2 2022 lúc 19:42

13,15

Vũ Trọng Hiếu
26 tháng 2 2022 lúc 19:42

c

Hồ Hoàng Khánh Linh
26 tháng 2 2022 lúc 19:43

C

haitani anh em
Xem chi tiết
Nguyễn Lê Phước Thịnh
18 tháng 2 2022 lúc 21:41

a: =

b: <

Thuỳ Dương Nguyễn Thị
18 tháng 2 2022 lúc 21:42

a)   -4/7+3/-7 = -1

b) -15/22+-3/22 <-8/11

haitani anh em
Xem chi tiết
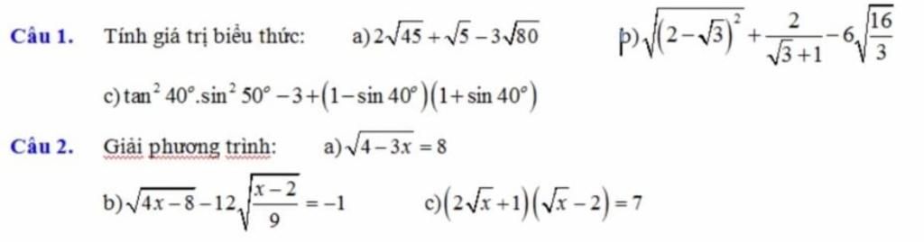
Đào Phương Linh
29 tháng 10 2021 lúc 20:46

\(C1\)
\(a.6\sqrt{5}+\sqrt{5}-12\sqrt{5}=-7\sqrt{5 }\)
\(b.\left|2-\sqrt{3}\right|+\sqrt{3}-1-6\sqrt{3}=2-\sqrt{3}+\sqrt{3}-1-6\sqrt{3}=1-6\sqrt{3}\)
C2
a. ĐK: x≤\(\dfrac{4}{3}\)
4-3x=64<=>3x=-60<=>x=-20
b. ĐK: x≥2
\(< =>2\sqrt{x-2}-4\sqrt{x-2}=-1< =>-2\sqrt{x-2}=-1< =>\sqrt{x-2}=\dfrac{1}{2}< =>x-2=\dfrac{1}{4}< =>x=\dfrac{9}{4}\)
c. ĐK: x≥0
\(< =>2x-4\sqrt{x}+\sqrt{x}-2=7< =>2x-3\sqrt{x}-9=0< =>x=9\)

haitani anh em
Xem chi tiết
Akai Haruma
22 tháng 1 2022 lúc 0:05

Lời giải:
$\frac{-7}{5}< \frac{-5}{4}< \frac{-7}{6}$

Nguyễn acc 2
22 tháng 1 2022 lúc 0:29

undefined