anh/chị làm giúp em với ạ

các anh chị ơi giúp em với ạ
làm một bài thơ 4 chữ hoặc 5 chữ với ạ(mong anh chị ko chép mạng)
Bạn có nghe thấy
Lời cầu cứu chăng?
Loài người nông cạn
Hủy hoại môi trường
Con người cứ ngỡ
Tài nguyên vô biên
Bao nhiêu tiên tiến
Khai thác thiên nhiên
Nhưng đâu có ngờ
Vì sự “hững hờ”
Suy nghĩ ngu ngơ
Môi trường ô nhiễm
Ai chịu trách nhiệm
Tìm kiếm giải pháp
Khắc phục hậu quả
Hồi sinh trái đất
Con người bội bạc
Chặt hết cây cối
Rác thải trôi nổi
Bốc mùi hôi thối
Biến đổi khí hậu
Mấy ai thấu thị
Đại dương thẳm sâu
Chứa đầy u sầu
Ôi! Hỡi bạn ơi
Muốn nói đôi lời
Môi trường tuyệt vời
Hãy giữ muôn đời.
Phân loại rác thải
Ngưng việc sai trái
Vứt rác bừa bãi
Ảnh hưởng lâu dài
Cùng trồng cây xanh
Hình thành rừng mới
Phủ kín đồi trọc
Thanh lọc không khí
Mỗi người ý thức
Ăn sâu vào kí ức
Cùng nhau chung sức
Gìn giữ môi trường
Mỗi trường quý giá
Cần sự nâng niu
Hành động nhỏ xíu
Cũng cần thực hiện
Vì cuộc sống “xanh”
Trí tuệ tinh anh
Nhận thức thật nhanh
“Bảo vệ môi trường”.
ngôi trường của em
suốt 3 tháng hè
nằm im lặng lẽ
chờ đón học trò
mùa thu đã tới chúng em tựu phòng
reo vang tiếng trống
trường vui lạ thường
không hay đâu nhé và chỉ 1 khổ thôi ! mình có 6 điểm văn thôi (^ v ^ )
Bóng vàng soi sáng
trên mặt nước trong ,
lấp lánh mặt sông
một màu óng ánh .
Anh chị làm giúp em với ạ

anh/chị làm giúp em với ạ/em cảm ơn


Anh chị ui giúp e làm bài này với ạ! E đg cần gắp lắm ý:(( Em cảm ơn anh chị nhiều ạ<3
nhờ anh chị làm giúp em với ạ
a) ĐKXĐ\(\left\{{}\begin{matrix}30\ge\dfrac{5}{x^2}\\6x^2\ge\dfrac{5}{x^2}\end{matrix}\right.\Leftrightarrow\left\{{}\begin{matrix}x^2\ge\dfrac{1}{6}\\x^4\ge\dfrac{5}{6}\end{matrix}\right.\Leftrightarrow\left\{{}\begin{matrix}x^2\ge\dfrac{1}{6}\\x^2\ge\sqrt{\dfrac{5}{6}}\end{matrix}\right.\Leftrightarrow x^2\ge\sqrt{\dfrac{5}{6}}\)
Đặt 6x2=a; 5/x2=b (a≥b>0)
\(\Rightarrow ab=30\)
Khi đó phương trình trở thành:
\(\sqrt{ab-b}+\sqrt{a-b}=a\)
\(\Leftrightarrow\sqrt{ab-b}=a-\sqrt{a-b}\)
\(\Leftrightarrow ab-b=a^2-2a\sqrt{a-b}+a-b\)
\(\Leftrightarrow ab=a^2-2a\sqrt{a-b}+a\)
Vì \(a\ne0\) nên chia cả 2 vế cho a, ta được:
\(b=a-2\sqrt{a-b}+1\)
\(\Leftrightarrow a-b-2\sqrt{a-b}+1=0\)
\(\Leftrightarrow\left(\sqrt{a-b}-1\right)^2=0\)
\(\Leftrightarrow a-b=1\)
\(\Leftrightarrow6x^2-\dfrac{5}{x^2}=1\)
\(\Leftrightarrow6x^4-x^2-5=0\)
\(\Leftrightarrow\left(x^2-1\right)\left(6x^2+5\right)=0\)
\(\Leftrightarrow x^2-1=0\left(6x^2+5>0\right)\)
\(\Leftrightarrow\left[{}\begin{matrix}x=1\left(TM\right)\\x=-1\left(TM\right)\end{matrix}\right.\)
Vậy \(S=\left\{-1;1\right\}\)
Tick nha bạn 😘
Anh chị ơi giúp em làm bài này với ạ! E đg cần gấp lắm luôn ý:(( E cảm ơn anh chị nhiều ạ<3

\(a,=x^2+x+4x+4=\left(x+1\right)\left(x+4\right)\\ b,=x^2+2x-3x-6=\left(x-3\right)\left(x+2\right)\\ c,=x^2-2x-3x+6=\left(x-2\right)\left(x-3\right)\\ d,=3\left(x^2-2x+5x-10\right)=3\left(x-2\right)\left(x+5\right)\\ e,=-3x^2+6x-x+2=\left(x-2\right)\left(1-3x\right)\\ f,=x^2-x-6x+6=\left(x-1\right)\left(x-6\right)\\ h,=4\left(x^2-3x-6x+18\right)=4\left(x-3\right)\left(x-6\right)\\ i,=3\left(3x^2-3x-8x+5\right)=3\left(x-1\right)\left(3x-8\right)\\ k,=-\left(2x^2+x+4x+2\right)=-\left(2x+1\right)\left(x+2\right)\\ l,=x^2-2xy-5xy+10y^2=\left(x-2y\right)\left(x-5y\right)\\ m,=x^2-xy-2xy+2y^2=\left(x-y\right)\left(x-2y\right)\\ n,=x^2+xy-3xy-3y^2=\left(x+y\right)\left(x-3y\right)\)
Bào quan riboxom trong chất tế bào có chức năng gì?
a) \(=\left(x^2+x\right)+\left(4x+4\right)=x\left(x+1\right)+4\left(x+1\right)=\left(x+1\right)\left(x+4\right)\)
b) \(=\left(x^2+2x\right)-\left(3x+6\right)=x\left(x+2\right)-3\left(x+2\right)=\left(x+2\right)\left(x-3\right)\)
c) \(=\left(x^2-2x\right)-\left(3x-6\right)=x\left(x-2\right)-3\left(x-2\right)=\left(x-2\right)\left(x-3\right)\)
d) \(3x^2+9x-30=3\left(x^2+3x-10\right)=3\left[\left(x^2+5x\right)-\left(2x+10\right)\right]=3\left[x\left(x+5\right)-2\left(x+5\right)\right]=3\left(x-2\right)\left(x+5\right)\)
e) \(=-\left(3x^2-5x-2\right)=-\left[\left(3x^2-6x\right)+\left(x-2\right)\right]=-\left[3x\left(x-2\right)+\left(x-2\right)\right]=-\left(3x+1\right)\left(x-2\right)\)
f) \(x^2-7x+6=\left(x^2-x\right)-\left(6x-6\right)=x\left(x-1\right)-6\left(x-1\right)=\left(x-1\right)\left(x-6\right)\)
h) \(=4\left(x^2-9x+14\right)=4\left[\left(x^2-7x\right)-\left(2x-14\right)\right]=4\left[x\left(x-7\right)-2\left(x-7\right)\right]=4\left(x-2\right)\left(x-7\right)\)
i) \(=3\left(3x^2-8x+5\right)=3\left[\left(3x^2-3x\right)-\left(5x-5\right)\right]=3\left[3x\left(x-1\right)-5\left(x-1\right)\right]=3\left(x-1\right)\left(3x-5\right)\)
k) \(=-\left(2x^2+5x+2\right)=-\left[\left(2x^2+4x\right)+\left(x+2\right)\right]=-\left[2x\left(x+2\right)+\left(x+2\right)\right]=-\left(x+2\right)\left(2x+1\right)\)
l) \(=\left(x^2-5xy\right)-\left(2xy-10y^2\right)=x\left(x-5y\right)-2y\left(x-5y\right)=\left(x-5y\right)\left(x-2y\right)\)
m) \(=\left(x^2-2xy\right)-\left(xy-2y^2\right)=x\left(x-2y\right)-y\left(x-2y\right)=\left(x-2y\right)\left(x-y\right)\)
n) \(=\left(x^2-3xy\right)+\left(xy-3y^2\right)=x\left(x-3y\right)+y\left(x-3y\right)=\left(x+y\right)\left(x-3y\right)\)
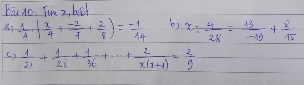
các anh chị làm giúp em phần a với ạ

\(a) x/4+(-2/7)+2/8=-1/14:1/4=-2/7=>x/4+2/8=-2/7-(-2/7)=>x/4+2/8=0=>x/4=-2/8=>x=-2/8*4=>x=-1\)
\(b)x:4/28=-43/285=>x=-43/285*4/28=>x=-43/1995\) nhé


giúp mình với mọi người ơi, tuy hơi dài nhưng mong các anh, chị giúp đỡ ạ, đây là bt part 1 còn bt part 2 nữa ạ! Mong anh chị giúp em làm nhanh nhất có thể ạ
Anh/Chị làm giúp em câu 5, 6, 7 với ạ!

5:
=10x^3*1/2xy-2/5y*1/2xy+1/2z*1/2xy
=5x^3y-1/5xy^2+1/4xyz
6: =x^2y*4xy+x^2y*3y-5x*x^2y
=4x^3y^2+3x^2y^2-5x^3y
7: =-4/3xy*3x^2y+4/3xy*6xy-4/3xy*9x
=-4x^3y^2+8x^2y^2-12x^2y
`5)(-10x^3+2/5y-1/2z)(-1/2xy)`
`=5x^4 y-1/5xy^2+1/4xyz`
`6)x^2 y(4xy+3y-5x)`
`=4x^3 y^2+3x^2 y^2-5x^3 y`
`7)(-4/3xy)(3x^2 y-6xy+9x)`
`=-4x^3 y+8x^2 y^2-12x^2 y`