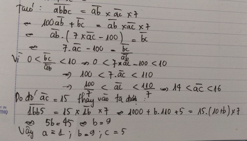
BÀI 1: Tìm các chữ số a,b,c khác 0 thõa mãn: abbc= ab × ac × 77
Bài 2: a. Tìm các số nguyên tố x;y sao cho: x2 +117 = y2 / b. Số 2100 viết trong hệ thập phân có bao nhiêu chữ số / c. Chứng tỏ rằng nếu p là số nguyên tố lớn hơn 3 thì p2 -1 chia hết cho 3
Bài 3: tìm các chữ số x;y để A= x183y chia hết cho 2; 5 và 9 đều dư 1
CÁC BẠN PHÂN TÍCH ĐÚNG, TRÌNH BÀY KHOA HỌC NHÉ!
MÌNH SẼ TÍCH CHO BẠN NÀO LÀM TRƯỚC KHI ĐẾN THỨ 5 NGÀY 20-12 NHA!
CẢM ƠN CÁC BẠN!!!
