3200:32
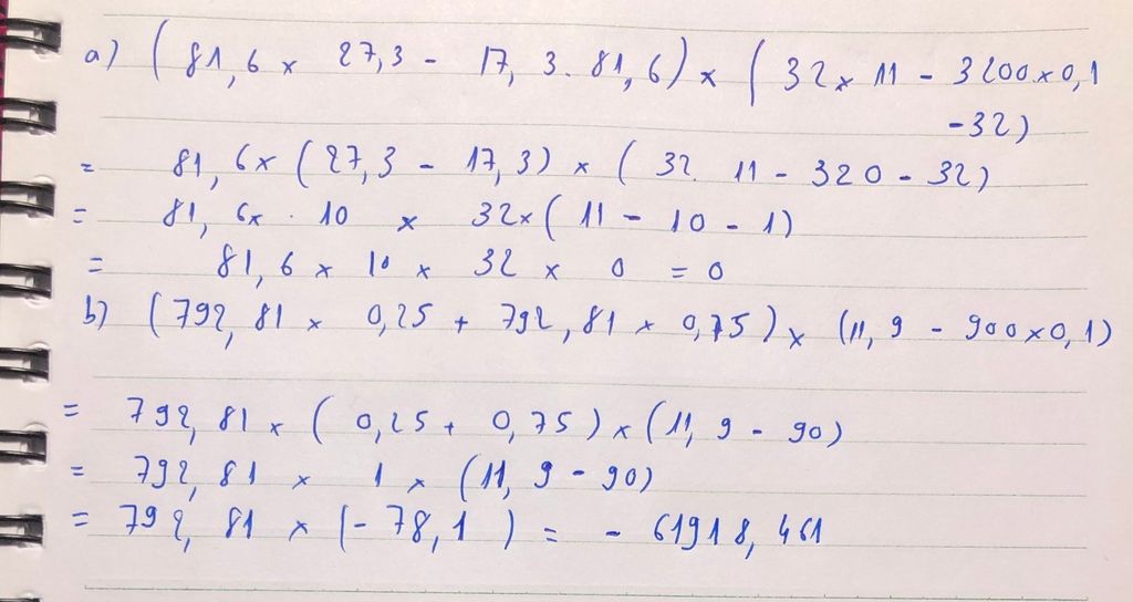
(81,6-27,3-17,3×81,6)×(32×11-3200×0,1-32)
cái này bn chỉ cần tìm 1 trong 2 ngoặc là 0 thui : mk biết thừa cái ngoặc sau bằng 0 nên ko mất công tính ngoặc trước :
32 x 11 -3200 x0,1 -32 =32 x ( 11 -10 -1 ) =0
\(\left(81,6-27,3-17,3x81,6\right)x\left(32x11-3200x0,1-32\right)\)
\(=81,6x\left(27,3-17,3\right)x\left(352-320-32\right)\)
\(=81,6x10x\left(32-32\right)\)
\(=816x0\)
\(=0\)
(81,6-27,3-17,3×81,6)×(32×11-3200×0,1-32)
32x11-3200x0,1-32 = 0 lúc nãy nói rồi thây!
tinh nhanh
(81,6x27,3-17,3x8,16) x ( 32 x11 -3200 x 0,1 -32)
Ta có:
( 81,6 x 27,3 - 17,3 x 8,16 ) x ( 32 x 11 - 3200 x 0,1 - 32 )
= A x ( 32 x 11 - 320 - 32 )
= A. x ( 32 x 11 - 32 x 10 - 32 )
= A. x ( 32 x ( 11 - 10 - 1 ))
= A. x ( 32 x 0 )
= A. x 0
= 0
tính nhanh
( 81,6 * 27,3 - 17,3 * 81,6 ) * ( 32 * 11 - 3200 * 0,1 - 32 )
Có: 32 * 11 - 3200 * 0,1 - 32 = 32(11 - 1) - 3200 * 0,1
= 32 * 10 - 320
= 320 - 320 = 0
Vậy ( 81,6 * 27,3 - 17,3 * 81,6 ) * ( 32 * 11 - 3200 * 0,1 - 32 )
= ( 81,6 * 27,3 - 17,3 * 81,6 ) * 0
= 0
Tìm x : 32 x ( x : 68 ) = 3200 + 40
32 x ( x:68) =3200 +40
32 x(x:68)=3240
(x:68) = 3240 : 32
(x:68) = 101,25
x = 101,25 x 68
x = 6885
Học tốt<3
Tính nhanh 32 x (x : 68 ) =3200 + 40
32 x (\(x\) : 68) = 3200 + 40
32 x (\(x\) : 68) = 3240
\(x\) : 68 = 3240 : 32
\(x\) : 68 = \(\dfrac{405}{4}\)
\(x\) = \(\dfrac{405}{4}\) x 68
\(x\) = 6885
(81,6×27,3-17,3×81,6)×(32×11-3200×0,1-3,2)
Giải thích các bước giải:

giúp mk nhé
(81,6 nhân 27,3-17,3 nhân 81,6) nhân (32 nhân 11 -3200 nhân 0,1-32)
( 81,6 x 27,3 - 17,3 x 81,6 ) x ( 32 x 11 - 3200 x 0,1 - 32 )
= ( 81,6 x 27,3 - 17,3 x 81,6 ) x ( 32 x 11 - 32 x 10 - 32 )
= ( 81,6 x 27,3 - 17,3 x 81,6 ) x 32 x ( 11 - 10 - 1 )
= ( 81,6 x 27,3 - 17,3 x 81,6 ) x 32 x 0
= 0
tính nhanh nha
{ 68,5 x 25,9 - 14,75} x {32 x 11 - 3200 x 0,1 - 32}
tk mk mk tk lại thề đấy
= {68,5 x 25,9 - 14,75} x { 32 x 10 + 32 - 320 - 32}
= {68,5 x 25,9 - 14,75} x 320 + 32 - 320 - 32
={ 68,5 x 25,9 - 14,75} x 0
= 0 tk nhé