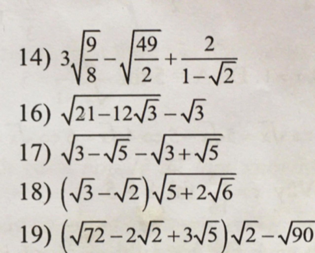
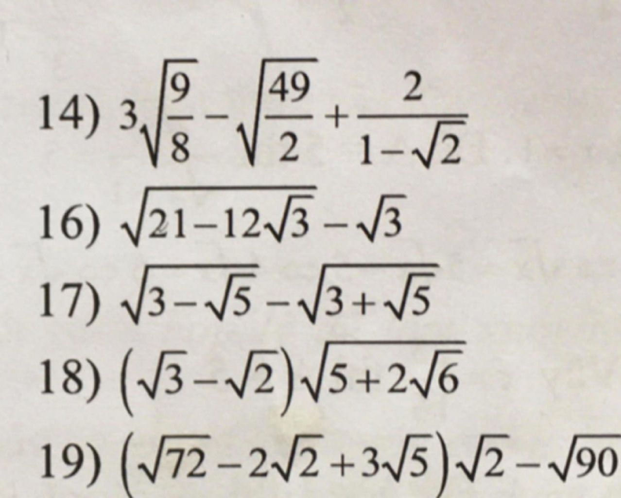
14: \(3\cdot\sqrt{\dfrac{9}{8}}-\sqrt{\dfrac{49}{2}}+\dfrac{2}{1-\sqrt{2}}\)
\(=3\cdot\dfrac{3}{2\sqrt{2}}-\dfrac{7}{\sqrt{2}}-\dfrac{2\left(\sqrt{2}+1\right)}{\left(\sqrt{2}-1\right)\left(\sqrt{2}+1\right)}\)
\(=\dfrac{9}{2\sqrt{2}}-\dfrac{7}{\sqrt{2}}-2\left(\sqrt{2}+1\right)\)
\(=\dfrac{9\sqrt{2}}{4}-\dfrac{7\sqrt{2}}{2}-2\left(\sqrt{2}+1\right)\)
\(=\dfrac{9\sqrt{2}-14\sqrt{2}}{4}-2\left(\sqrt{2}+1\right)=\dfrac{-5\sqrt{2}-8\left(\sqrt{2}+1\right)}{4}\)
\(=\dfrac{-13\sqrt{2}-8}{4}\)
16: \(\sqrt{21-12\sqrt{3}}-\sqrt{3}\)
\(=\sqrt{12-2\cdot2\sqrt{3}\cdot3+9}-\sqrt{3}\)
\(=\sqrt{\left(2\sqrt{3}-3\right)^2}-\sqrt{3}\)
\(=2\sqrt{3}-3-\sqrt{3}=\sqrt{3}-3\)
17: \(\sqrt{3-\sqrt{5}}-\sqrt{3+\sqrt{5}}\)
\(=\dfrac{1}{\sqrt{2}}\cdot\left(\sqrt{6-2\sqrt{5}}-\sqrt{6+2\sqrt{5}}\right)\)
\(=\dfrac{1}{\sqrt{2}}\left(\sqrt{\left(\sqrt{5}-1\right)^2}-\sqrt{\left(\sqrt{5}+1\right)^2}\right)\)
\(=\dfrac{1}{\sqrt{2}}\left(\sqrt{5}-1-\sqrt{5}-1\right)=-\dfrac{2}{\sqrt{2}}=-\sqrt{2}\)
18: \(\left(\sqrt[]{3}-\sqrt{2}\right)\cdot\sqrt{5+2\sqrt{6}}\)
\(=\left(\sqrt{3}-\sqrt{2}\right)\cdot\sqrt{\left(\sqrt{3}+\sqrt{2}\right)^2}\)
\(=\left(\sqrt{3}-\sqrt{2}\right)\left(\sqrt{3}+\sqrt{2}\right)\)
=3-2=1
19: \(\left(\sqrt{72}-2\sqrt{2}+3\sqrt{5}\right)\cdot\sqrt{2}-\sqrt{90}\)
\(=\left(6\sqrt{2}-2\sqrt{2}+3\sqrt{5}\right)\cdot\sqrt{2}-3\sqrt{10}\)
\(=\left(4\sqrt{2}+3\sqrt{5}\right)\cdot\sqrt{2}-3\sqrt{10}\)
\(=8+3\sqrt{10}-3\sqrt{10}\)
=8

