\(=\dfrac{2}{9}\cdot\left[\dfrac{-4}{45}:\dfrac{1}{15}+\dfrac{5}{3}\right]+\dfrac{5}{27}\)
\(=\dfrac{2}{9}\cdot\left[\dfrac{-4}{3}+\dfrac{5}{3}\right]+\dfrac{5}{27}\)
=2/27+5/27=7/27
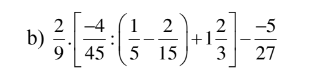
\(\dfrac{2}{9}.\left[\dfrac{-4}{45}:\left(\dfrac{1}{5}-\dfrac{2}{15}\right)+\dfrac{5}{3}\right]-\dfrac{-5}{27}\)
\(\dfrac{2}{9}.\left[\dfrac{-4}{45}:\left(\dfrac{3}{15}-\dfrac{2}{15}\right)+\dfrac{5}{3}\right]-\dfrac{-5}{27}\)
\(\dfrac{2}{9}.\left(\dfrac{-4}{45}:\dfrac{1}{15}+\dfrac{5}{3}\right)-\dfrac{-5}{27}\)
\(\dfrac{2}{9}.\left(\dfrac{-4}{3}+\dfrac{5}{3}\right)-\dfrac{-5}{27}\)
\(\dfrac{2}{9}.\dfrac{1}{3}-\dfrac{-5}{27}\)
\(\dfrac{2}{27}+\dfrac{5}{27}=\dfrac{7}{27}\)
