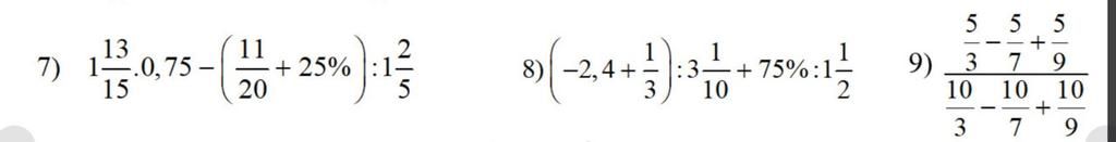
\(7,1\dfrac{13}{15}.0,75-\left(\dfrac{11}{20}+25\%\right):1\dfrac{2}{5}\\ =\dfrac{28}{15}.\dfrac{3}{4}-\left(\dfrac{11}{20}+\dfrac{1}{4}\right):\dfrac{7}{5}\\ =\dfrac{7}{5}-\dfrac{4}{5}.\dfrac{5}{7}\\ =\dfrac{7}{5}-\dfrac{4}{7}\\ =\dfrac{29}{35}\\ 8,\left(-2,4+\dfrac{1}{3}\right):3\dfrac{1}{10}+75\%:1\dfrac{1}{2}\\ =\left(-\dfrac{12}{5}+\dfrac{1}{3}\right):\dfrac{31}{10}+\dfrac{3}{4}:\dfrac{3}{2}\\ =-\dfrac{31}{15}.\dfrac{10}{31}+\dfrac{3}{4}.\dfrac{2}{3}\\ =-\dfrac{2}{3}+\dfrac{1}{2}\\ =-\dfrac{1}{6}\)
\(9,\dfrac{\dfrac{5}{3}-\dfrac{5}{7}+\dfrac{5}{9}}{\dfrac{10}{3}-\dfrac{10}{7}+\dfrac{10}{9}}\\ =\dfrac{5\left(\dfrac{1}{3}-\dfrac{1}{7}+\dfrac{1}{9}\right)}{10\left(\dfrac{1}{3}-\dfrac{1}{7}+\dfrac{1}{9}\right)}\\ =\dfrac{5}{10}\\ =\dfrac{1}{2}\)
`7) 1 13/15 . 0,75-(11/20+25%):1 2/5`
`=28/15 . 3/4-(11/20+5/20): 7/5`
`=84/60-16/20 . 5/7`
`=84/60-80/140`
`=7/5-4/7`
`=29/35`
`8)(-2,4+1/3):3 1/10+75%:1 1/2`
`=( (-12)/5+1/3):31/10+3/4:3/2`
`=( (-36)/15+5/15).10/31+3/4 . 2/3`
`=(-31)/15 . 10/31+6/12`
`=(-2)/3+1/2`
`=(-1)/6`
`9)(5/7-5/7+5/7)/(10/3-10/7+10/9)`
`=( 5 (1/3-1/7+1/9) )/(10(1/3-1/7+1/9) )`
`=5/10`
`=1/2`

4 và 5