Ôn tập cuối năm giải tích lớp 12

Bạn chưa đăng nhập. Vui lòng đăng nhập để hỏi bài
Sách Giáo Khoa

Tìm thể tích vật thể tròn xoay thu được khi quay hình phẳng giới hạn bởi các đường \(y=2x^2\) và \(y=x^3\) xung quanh trục Ox ?

 

Phan Thùy Linh
1 tháng 4 2017 lúc 23:46

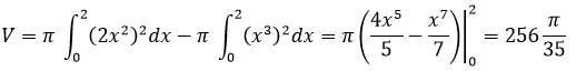
Ta có: 2x2=x3 ⇔ x2 (2-x)=0 ⇔ x=0 và x = 2

Hoành độ giao điểm của hai đường cong là: x = 0 và x =2

Bởi vì 2x2=x3=x2 (2-x)≥0 với x≤2 nên đường cong y=2x2 nằm trên đường cong y=x3 trong khoảng (0; 2). Do đó thể tích cần tính là:

Giải bài 14 trang 148 sgk Giải tích 12 | Để học tốt Toán 12

CÔNG CHÚA THẤT LẠC
9 tháng 4 2017 lúc 10:22

Ta có: 2x2=x3 ⇔ x2 (2-x)=0 ⇔ x=0 và x = 2

Hoành độ giao điểm của hai đường cong là: x = 0 và x =2

Bởi vì 2x2=x3=x2 (2-x)≥0 với x≤2 nên đường cong y=2x2 nằm trên đường cong y=x3 trong khoảng (0; 2). Do đó thể tích cần tính là:

CÔNG CHÚA THẤT LẠC
9 tháng 4 2017 lúc 10:23

Giải bài 14 trang 148 sgk Giải tích 12 | Để học tốt Toán 12

CÔNG CHÚA THẤT LẠC
9 tháng 4 2017 lúc 10:23

Ta có: 2x2=x3 ⇔ x2 (2-x)=0 ⇔ x=0 và x = 2

Hoành độ giao điểm của hai đường cong là: x = 0 và x =2

Bởi vì 2x2=x3=x2 (2-x)≥0 với x≤2 nên đường cong y=2x2 nằm trên đường cong y=x3 trong khoảng (0; 2). Do đó thể tích cần tính là:

Giải bài 14 trang 148 sgk Giải tích 12 | Để học tốt Toán 12


Các câu hỏi tương tự
Sách Giáo Khoa
Xem chi tiết
Sách Giáo Khoa
Xem chi tiết
Sách Giáo Khoa
Xem chi tiết
Sách Giáo Khoa
Xem chi tiết
Sách Giáo Khoa
Xem chi tiết
Sách Giáo Khoa
Xem chi tiết
Sách Giáo Khoa
Xem chi tiết
Sách Giáo Khoa
Xem chi tiết
Sách Giáo Khoa
Xem chi tiết