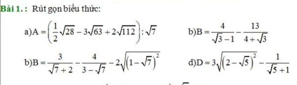
a: \(A=\left(\dfrac{1}{2}\cdot2\sqrt{7}-3\cdot3\sqrt{7}+2\cdot4\sqrt{7}\right):\sqrt{7}\)
\(=\dfrac{1}{2}\cdot2-3\cdot3+2\cdot4=1+8-9=0\)
b: \(B=\dfrac{4\left(\sqrt{3}+1\right)}{2}-\dfrac{13\left(4-\sqrt{3}\right)}{13}\)
=2(căn 3+1)-4+căn 3
=4căn 3+2-4+căn 3
=5căn 3-2
c: \(=\dfrac{3\left(\sqrt{7}-2\right)}{3}-\dfrac{4\left(3+\sqrt{7}\right)}{2}-2\left(\sqrt{7}-1\right)\)
=căn 7-2-2(3+căn 7)-2căn 7+2
=-căn 7-6-2căn 7
=-6-3căn 7
d: \(=3\left(\sqrt{5}-2\right)-\dfrac{\sqrt{5}-1}{4}\)
\(=\dfrac{12\left(\sqrt{5}-2\right)-\sqrt{5}+1}{4}=\dfrac{11\sqrt{5}-23}{4}\)










giúp e vs ạ :<