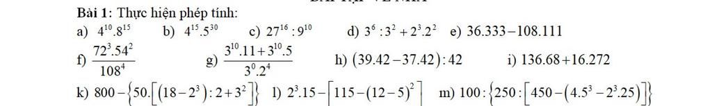
a: \(4^{10}\cdot8^{15}=2^{20}\cdot2^{45}=2^{20+45}=2^{65}\)
b: \(4^{15}\cdot5^{30}=4^{15}\cdot25^{15}=100^{15}\)
c: \(\dfrac{27^{16}}{9^{10}}=\dfrac{3^{48}}{3^{20}}=3^{28}\)
d: \(3^6:3^2+2^3\cdot2^2\)
\(=3^4+2^5\)
=81+32
=113
e: \(36\cdot333-108\cdot111\)
\(=36\cdot111\cdot3-36\cdot3\cdot111\)
=0
f: \(\dfrac{72^3\cdot54^2}{108^4}=\dfrac{\left(2^3\cdot3^2\right)^3\cdot\left(2\cdot3^3\right)^2}{\left(2^2\cdot3^3\right)^4}\)
\(=\dfrac{2^9\cdot3^6\cdot2^2\cdot3^6}{2^8\cdot3^{12}}=\dfrac{2^{11}}{2^8}=2^3=8\)
g: \(\dfrac{3^{10}\cdot11+3^{10}\cdot5}{3^0\cdot2^4}\)
\(=\dfrac{3^{10}\left(11+5\right)}{16}\)
\(=3^{10}\cdot\dfrac{16}{16}=3^{10}\)
h: \(\dfrac{\left(39\cdot42-37\cdot42\right)}{42}\)
\(=\dfrac{42\left(39-37\right)}{42}\)
=39-37
=2
i: \(136\cdot68+16\cdot272\)
\(=136\cdot68+16\cdot2\cdot136\)
\(=136\left(68+32\right)\)
\(=136\cdot100=13600\)
k: \(800-\left\{50\cdot\left[\dfrac{\left(18-2^3\right)}{2}+3^2\right]\right\}\)
\(=800-\left\{50\cdot\left[\dfrac{18-8}{2}+9\right]\right\}\)
\(=800-50\cdot\left(\dfrac{10}{2}+9\right)\)
\(=800-50\cdot14=100\)
l: \(2^3\cdot15-\left[115-\left(12-5\right)^2\right]\)
\(=8\cdot15-115+7^2\)
\(=120-115+49\)
=49+5
=54
m: \(100:\left\{250:\left[450-\left(4\cdot5^3-2^3\cdot25\right)\right]\right\}\)
\(=\dfrac{100}{250:\left[450-\left(4\cdot125-8\cdot25\right)\right]}\)
\(=\dfrac{100}{250:\left[450-500+200\right]}\)
\(=\dfrac{100}{250:150}=100:\dfrac{5}{3}=100\cdot\dfrac{3}{5}=60\)

