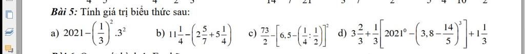
a: \(=2021-\left(\dfrac{1}{3}\cdot3\right)^2=2021-1=2020\)
b: \(=11+\dfrac{1}{4}-2-\dfrac{5}{7}-5-\dfrac{1}{4}=4-\dfrac{5}{7}=\dfrac{23}{7}\)
c: \(=\dfrac{73}{2}-\left[\dfrac{13}{2}-\dfrac{1}{2}\right]^2=\dfrac{73}{2}-36=\dfrac{1}{2}\)
d: \(=\dfrac{11}{3}+\dfrac{4}{3}+\dfrac{1}{3}\cdot\left[1-\left(3.8-2.8\right)^3\right]=5\)
