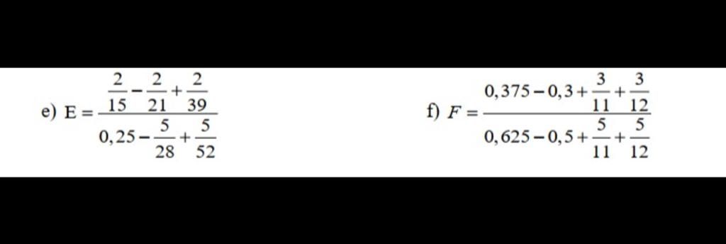
e: \(=\dfrac{2\left(\dfrac{1}{15}-\dfrac{1}{21}+\dfrac{1}{39}\right)}{\dfrac{5}{20}-\dfrac{5}{28}+\dfrac{5}{52}}=\dfrac{2\left(\dfrac{1}{15}-\dfrac{1}{21}+\dfrac{1}{39}\right)}{\dfrac{5}{4}\left(\dfrac{1}{5}-\dfrac{1}{7}+\dfrac{1}{13}\right)}\)
\(=\dfrac{2}{3}:\dfrac{5}{4}=\dfrac{2}{3}\cdot\dfrac{4}{5}=\dfrac{8}{15}\)
f: \(=\dfrac{3\left(\dfrac{1}{8}-\dfrac{1}{10}+\dfrac{1}{11}+\dfrac{1}{12}\right)}{5\left(\dfrac{1}{8}-\dfrac{1}{10}+\dfrac{1}{11}+\dfrac{1}{12}\right)}=\dfrac{3}{5}\)
