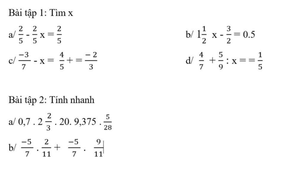
Bài 1:
\(a,\\ \dfrac{2}{5}-\dfrac{2}{5}x=\dfrac{2}{5}\\ \dfrac{2}{5}x=\dfrac{2}{5}-\dfrac{2}{5}\\ \dfrac{2}{5}x=0\\ x=0\)
~~~~~~~~~~~~~~~~
\(b,\\ 1\dfrac{1}{2}x-\dfrac{3}{2}=0,5\\ \dfrac{3}{2}x-\dfrac{3}{2}=\dfrac{1}{2}\\ \dfrac{3}{2}x=\dfrac{1}{2}+\dfrac{3}{2}\\ \dfrac{3}{2}x=2\\ x=2:\dfrac{3}{2}\\ x=\dfrac{4}{3}\)
~~~~~~~~~~~~~~~~
\(c,\\ \dfrac{-3}{7}-x=\dfrac{4}{5}+\left(-\dfrac{2}{3}\right)\\ \dfrac{-3}{7}-x=\dfrac{2}{15}\\ x=-\dfrac{3}{7}-\dfrac{2}{15}\\ x=-\dfrac{59}{105}\)
~~~~~~~~~~~~~~~~
\(d,\\ \dfrac{4}{7}+\dfrac{5}{9}:x=\dfrac{1}{5}\\ \dfrac{5}{9}:x=\dfrac{1}{5}-\dfrac{4}{7}\\ \dfrac{5}{9}:x=-\dfrac{13}{35}\\ x=\dfrac{5}{9}:\left(-\dfrac{13}{35}\right)\\ x=-\dfrac{175}{117}\)
