`A = (10^2020 + 1)/(10^2021 + 1) < (10^2020 + 1 + 9)/(10^2021 + 1 + 9)`
`= (10^2020 + 10)/(10^2021 + 10)`
`= (10^2021)/(10^2022) < (10^2021+1)/(10^2022 + 1)`
`=> A < B`.
`10A = (10^2021 + 10)/(10^2021 + 1) = (20^2021 + 1 + 9)/(10^2021 + 1) = (10^2021 + 1)/(10^2021 + 1) + 9/(10^2021 + 1)=1 + 9/(10^2021 + 1) `
`10B = (10^2022 + 10)/(10^2022 + 1) = (20^2022 + 1 + 9)/(10^2022 + 1) = (10^2022 + 1)/(10^2022 + 1) + 9/(10^2022 + 1) = 1 + 9/(10^2022+1)`
Vì `9^(10^2021 + 1) > 9^(10^2022+1)`
`=> 1 + 9^(10^2021 + 1) < 1+9^(10^2022+1)`
`=> A<B`
Vậy `A<B`
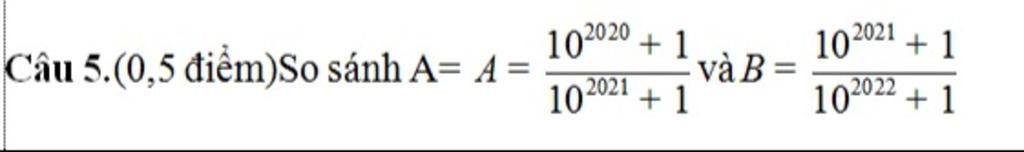
`\text{Câu 5:}`
Ta có :
`+A={10^2020+1}/{10^2021+1}`
`->10A={10(10^2020+1)}/{10^2021+1}`
`->10A={10^2021+10}/{10^2021+1}`
`->10A={10^2021+1+9}/{10^2021+1}`
`->10A=1+9/{10^2021+1}`
\(+B=\dfrac{10^{2021}+1}{10^{2022}+1}\)
\(10B=\dfrac{10\left(10^{2021}+1\right)}{10^{2022}+1}\)
\(10B=\dfrac{10^{2022}+10}{10^{2022}+1}\)
\(10B=\dfrac{10^{2022}+1+9}{10^{2022}+1}\)
\(10B=1+\dfrac{9}{10^{2022}+1}\)
`A>B`

4 và 5