ko ghi lai de
a/
→\(\dfrac{7}{2}+2x=\dfrac{16}{3}:\dfrac{8}{3}\)
\(\dfrac{7}{2}+2x=\dfrac{16}{3}x\dfrac{3}{8}\)
\(\dfrac{7}{2}+2x=2\)
\(2x=2-\dfrac{7}{2}\)
\(2x=-\dfrac{3}{2}\)
\(x=-\dfrac{3}{2}:2\)
→\(x=-\dfrac{3}{4}\)
b/
→\(\left(\dfrac{13}{3}+3x\right).\dfrac{13}{5}=-\dfrac{13}{3}\)
\(\left(\dfrac{13}{3}+3x\right)=-\dfrac{13}{3}:\dfrac{13}{5}\)
\(\left(\dfrac{13}{3}+3x\right)=-\dfrac{5}{3}\)
\(3x=-\dfrac{5}{3}-\dfrac{13}{3}\)
\(3x=-6\)
\(x=-6:3\)
→\(x=-2\)
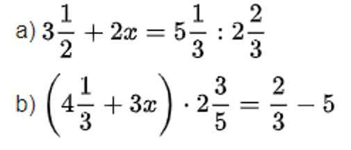
\(3\dfrac{1}{2}+2x=5\dfrac{1}{3}:2\dfrac{2}{3}\)
\(\dfrac{7}{2}+2x=\dfrac{16}{3}:\dfrac{8}{3}\)
\(\dfrac{7}{2}+2x=\dfrac{16}{3}\times\dfrac{3}{8}\)
\(\dfrac{7}{2}+2x=2\)
\(2x=2-\dfrac{7}{2}\)
\(2x=-\dfrac{3}{2}\)
\(x=-\dfrac{3}{2}:2\)
\(x=-\dfrac{3}{2}\times\dfrac{1}{2}\)
\(x=-\dfrac{3}{4}\)
_____________________________________
\(\left(4\dfrac{1}{3}+3x\right).2\dfrac{3}{5}=\dfrac{2}{3}-5\)
\(\left(4\dfrac{1}{3}+3x\right).2\dfrac{3}{5}=-\dfrac{13}{3}\)
\(\left(\dfrac{13}{3}+3x\right).\dfrac{13}{5}=-\dfrac{13}{3}\)
\(\dfrac{13}{3}+3x=-\dfrac{13}{3}:\dfrac{13}{5}\)
\(\dfrac{13}{3}+3x=-\dfrac{13}{3}.\dfrac{5}{13}\)
\(\dfrac{13}{3}+3x=-\dfrac{5}{3}\)
\(3x=-\dfrac{5}{3}-\dfrac{13}{3}\)
\(3x=-6\)
`x = -6 : 3`
`x = -2`
a) \(3\dfrac{1}{2}+2x=5\dfrac{1}{3}:2\dfrac{2}{3}\)
\(\Leftrightarrow\dfrac{3}{2}+2x=\dfrac{5}{3}.\dfrac{4}{3}=\dfrac{20}{9}\)
\(\Leftrightarrow2x=\dfrac{20}{9}-\dfrac{3}{2}=\dfrac{13}{18}\)
\(\Leftrightarrow x=\dfrac{13}{18}:2=\dfrac{13}{36}\)
Vậy...
b) \(\left(4\dfrac{1}{3}+3x\right).2\dfrac{3}{5}=\dfrac{2}{3}-5\)
\(\Leftrightarrow\dfrac{4}{3}+3x=\dfrac{-13}{3}:\dfrac{6}{5}=\dfrac{-65}{18}\)
\(\Leftrightarrow3x=\dfrac{-65}{18}-\dfrac{4}{3}=\dfrac{-89}{18}\)
\(\Leftrightarrow x=\dfrac{-89}{18}:3=\dfrac{-89}{64}\)
Vậy...
