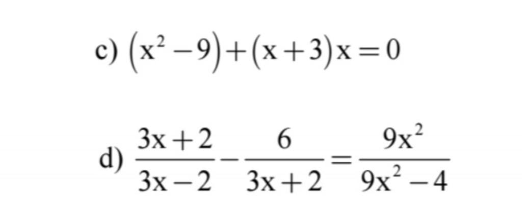
dễ vậy thôi để mk
c)<=>x^2-9+x^2+3x=0
<=>2x^2-9+3x=0
<=>2x^2+3x-9=0
<=>2x^2+3/2-3-9=0
=>vậy x thuộc {3/2;-3}
a) \(\left(x^2-9\right)+\left(x+3\right)x=0\)
\(\Leftrightarrow\left(x-3\right)\left(x+3\right)+\left(x+3\right)x=0\)
\(\Leftrightarrow\left(x+3\right)\left(x-3+x\right)=0\)
\(\Leftrightarrow\left(x+3\right)\left(2x-3\right)=0\)
\(\Leftrightarrow x+3=0\) hay \(2x-3=0\)
\(\Leftrightarrow x=-3\) hay \(x=\dfrac{3}{2}\)
-Vậy \(S=\left\{-3;\dfrac{3}{2}\right\}\)
b) \(\dfrac{3x+2}{3x-2}-\dfrac{6}{3x+2}=\dfrac{9x^2}{9x^2-4}\left(ĐKXĐ:x\ne\pm\dfrac{2}{3}\right)\)
\(\Leftrightarrow\dfrac{\left(3x+2\right)^2}{\left(3x-2\right)\left(3x+2\right)}-\dfrac{6\left(3x-2\right)}{\left(3x-2\right)\left(3x+2\right)}=\dfrac{9x^2}{\left(3x-2\right)\left(3x+2\right)}\)
\(\Rightarrow9x^2+12x+4-18x+12=9x^2\)
\(\Leftrightarrow9x^2-6x+16-9x^2=0\)
\(\Leftrightarrow x=\dfrac{8}{3}\left(nhận\right)\)
-Vậy \(S=\left\{\dfrac{8}{3}\right\}\)


