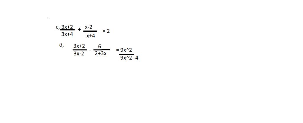
\(d,\dfrac{3x+2}{3x-2}-\dfrac{6}{2+3x}=\dfrac{9x^2}{9x^2-4}\)
⇔\(\dfrac{\left(3x+2\right)^2}{9x^2-4}-\dfrac{6\left(3x-2\right)}{9x^2-4}=\dfrac{9x^2}{9x^2-4}\)
⇔\(9x^2+12x+4-18x+12-9x^2=0\)
\(\Leftrightarrow-6x=-16\)
\(\Leftrightarrow x=\dfrac{8}{3}\)
