HOC24
Lớp học
Học bài
Hỏi bài
Giải bài tập
Đề thi
ĐGNL
Tin tức
Cuộc thi vui
Khen thưởng
Tìm kiếm câu trả lời
Tìm kiếm câu trả lời cho câu hỏi của bạn
Đóng
Đăng nhập
Đăng ký
Lớp học
Lớp 12
Lớp 11
Lớp 10
Lớp 9
Lớp 8
Lớp 7
Lớp 6
Lớp 5
Lớp 4
Lớp 3
Lớp 2
Lớp 1
Môn học
Toán
Vật lý
Hóa học
Sinh học
Ngữ văn
Tiếng anh
Lịch sử
Địa lý
Tin học
Công nghệ
Giáo dục công dân
Tiếng anh thí điểm
Đạo đức
Tự nhiên và xã hội
Khoa học
Lịch sử và Địa lý
Tiếng việt
Khoa học tự nhiên
Hoạt động trải nghiệm
Hoạt động trải nghiệm, hướng nghiệp
Giáo dục kinh tế và pháp luật
Chủ đề / Chương
Bài học
HOC24
Khách vãng lai
Đăng nhập
Đăng ký
Khám phá
Hỏi đáp
Đề thi
Tin tức
Cuộc thi vui
Khen thưởng
Trang cá nhân
Mở trang cá nhân.
Người theo dõi
Người theo dõi bạn.
Đang theo dõi
Người bạn đang theo dõi bạn.
Tặng COIN
Tặng COIN cho người mà bạn quý
ling thuy
Cập nhật ảnh bìa
Tải lên
Từ máy tính của bạn
Cập nhật ảnh đại diện
Tải lên
Từ máy tính của bạn
Tải ảnh bìa
Nhấn vào đây
để tải 1 ảnh lên
Làm lại
Tải ảnh đại diện
Nhấn vào đây
để tải lên 1 ảnh
Làm lại
Tặng COIN
Lưu ý: Tài khoản khả dụng của bạn phải trên 50 COIN mới có thể sử dụng chức năng này!!!
Cập nhật mật khẩu dành cho tài khoản đăng nhập bằng Facebook hoặc Google!!
Mật khẩu tài khoản: *
Loại: *
COIN
XU
COIN/XU: *
Lời nhắn: *
Học tại trường
Chưa có thông tin
Đến từ
Chưa có thông tin , Chưa có thông tin
Số lượng câu hỏi
226
Số lượng câu trả lời
14
Điểm GP
0
Điểm SP
2
Giải thưởng
0
Người theo dõi (1)
Lê bảo trang
Theo dõi
Đang theo dõi (15)
Akai Haruma
Theo dõi
Lấp La Lấp Lánh
Theo dõi
Thảo Phương
Theo dõi
Minh Hiếu
Theo dõi
Huỳnh Thị Thanh Ngân
Theo dõi
ling thuy
đã chọn một câu trả lời của
Thảo Thảo
là đúng
26 tháng 12 2021 lúc 21:27
ling thuy
đã đăng một câu hỏi
26 tháng 12 2021 lúc 20:59
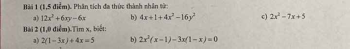
Cần câu 2 gấpp
ling thuy
đã đăng một câu hỏi
26 tháng 12 2021 lúc 9:26
ling thuy
đã đăng một câu hỏi
25 tháng 12 2021 lúc 13:56
Giải chi tiết
ling thuy
đã đăng một câu hỏi
25 tháng 12 2021 lúc 13:10
ling thuy
đã đăng một câu hỏi
25 tháng 12 2021 lúc 9:03
ling thuy
đã đăng một câu hỏi
25 tháng 12 2021 lúc 8:55
ling thuy
đã chọn một câu trả lời của
Nguyễn Hoàng Minh
là đúng
20 tháng 12 2021 lúc 11:48
ling thuy
đã đăng một câu hỏi
20 tháng 12 2021 lúc 11:43
ling thuy
đã chọn một câu trả lời của
Nguyễn Hoàng Minh
là đúng
20 tháng 12 2021 lúc 11:33
Trước
Sau
1
…
7
8
9
…
39