HOC24
Lớp học
Môn học
Chủ đề / Chương
Bài học
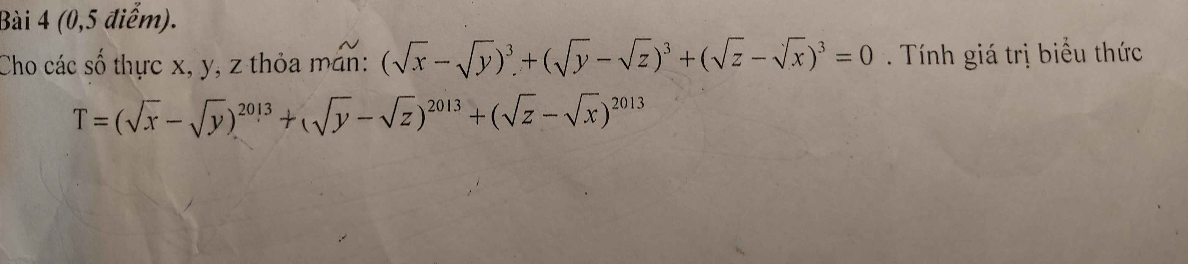
Giúp mình câu 3
Với a,b,c là 3 số thực dương chứng minh rằng: