HOC24
Lớp học
Môn học
Chủ đề / Chương
Bài học
Giải giúp e bài 4 với ạ
Giải giúp e bài 4 với ạ 🥺
Giải giúp e bài 3 vs ạ :(
cho hình bình hành ABCD biết AB 2x - y = 0 AD 4x - 3y =0 và tâm I ( 2,2) lập pt các cạnh BC và CD
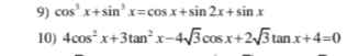
cos3x + sin3x = cosx + sin2x + sin x
giải giúp e vs ạ