HOC24
Lớp học
Môn học
Chủ đề / Chương
Bài học
Một dây dẫn bằng nicrom dài 30m tiết diện 0.3mm vuông được mắc vào hiệu điện thế 220V. Tính cường độ dòng điện chạy qua dây dẫn này ?
An đi xe đạp trên quãng đường AB dài 30 km với vận tốc 30 km/h. Thịnh khởi hành từ A sau An 20 phút và đến B sau An 10 phút. Vận tốc của Thịnh là
Một ô tô khởi hành từ Hà Nội lúc 7 giờ 30 phút, đến Hải Phòng lúc 10 giờ. Quãng đường Hà Nội – Hải Phòng dài 100 km. Vận tốc trung bình của ô tô là
Câu 5: Đoạn mạch AB gồm 2 điện trở R1 = 8Ω và R2 = 4Ω mắc nối tiếp. Đặt vào hai đầu đoạn mạch một hiệu điện thế không đổi U =24V.
a) Tính điện trở tương đương của đoạn mạch AB.
b) Tính cường độ dòng điện qua mỗi điện trở
c) Tính hiệu điện thế giữa hai đầu mỗi điện trở
1 bình hình trụ cao 1,2m đựng nước , mặt nước cách miệng bình 0,5m .tính áp suất do nước tác dụng lên đáy bình, biết trọng lượng riêng của nước là 10000 $N/m^3$
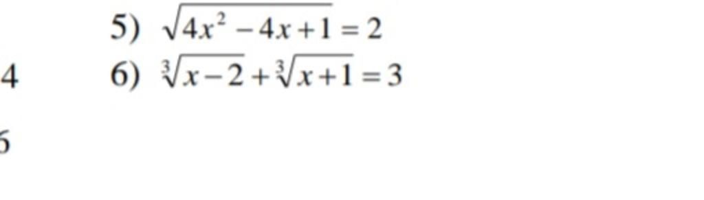
giải phương trình ạ
.......... trên một khoảng cách dài là một sự thật.
A. Truyền tải điện
B.Là dòng điện có thể truyền được
C. điện đó
D. Điều đó có thể bo truyền
nếu được thì giải thích giúp em luôn ạ