HOC24

Lớp học
Học bài Hỏi bài Giải bài tập Đề thi ĐGNL
Tin tức Cuộc thi vui Khen thưởng
  • Tìm kiếm câu trả lời Tìm kiếm câu trả lời cho câu hỏi của bạn
Đăng nhập Đăng ký

Lớp học

  • Lớp 12
  • Lớp 11
  • Lớp 10
  • Lớp 9
  • Lớp 8
  • Lớp 7
  • Lớp 6
  • Lớp 5
  • Lớp 4
  • Lớp 3
  • Lớp 2
  • Lớp 1

Môn học

  • Toán
  • Vật lý
  • Hóa học
  • Sinh học
  • Ngữ văn
  • Tiếng anh
  • Lịch sử
  • Địa lý
  • Tin học
  • Công nghệ
  • Giáo dục công dân
  • Tiếng anh thí điểm
  • Đạo đức
  • Tự nhiên và xã hội
  • Khoa học
  • Lịch sử và Địa lý
  • Tiếng việt
  • Khoa học tự nhiên
  • Hoạt động trải nghiệm
  • Hoạt động trải nghiệm, hướng nghiệp
  • Giáo dục kinh tế và pháp luật

Chủ đề / Chương

    Bài học

      HOC24

      Khách Khách vãng lai
      Đăng nhập Đăng ký
      Khám phá
      Hỏi đáp Đề thi Tin tức Cuộc thi vui Khen thưởng
      Nhi Trần
      Nhi Trần

      Trang cá nhân

      Mở trang cá nhân.

      Người theo dõi

      Người theo dõi bạn.

      Đang theo dõi

      Người bạn đang theo dõi bạn.

      Tặng COIN

      Tặng COIN cho người mà bạn quý

      Nhi Trần

      Cập nhật ảnh bìa

      Tải lên Từ máy tính của bạn

      Cập nhật ảnh đại diện

      Tải lên Từ máy tính của bạn

      Tải ảnh bìa

      Làm lại

      Tải ảnh đại diện

      Làm lại

      Tặng COIN

      Lưu ý: Tài khoản khả dụng của bạn phải trên 50 COIN mới có thể sử dụng chức năng này!!!
      Cập nhật mật khẩu dành cho tài khoản đăng nhập bằng Facebook hoặc Google!!
      Học tại trường Chưa có thông tin
      Đến từ Chưa có thông tin , Chưa có thông tin
      Số lượng câu hỏi 235
      Số lượng câu trả lời 19
      Điểm GP 0
      Điểm SP 2
      Giải thưởng 0

      Người theo dõi (0)

      Đang theo dõi (1)

      Nguyễn Việt Lâm
      Nguyễn Việt Lâm

      Nhi Trần
      Nhi Trần đã đăng một câu hỏi 7 tháng 6 2021 lúc 9:26

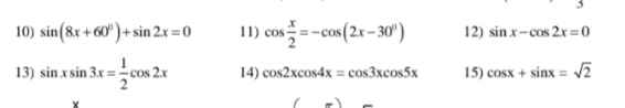
      Giải pt lượng giác

      Nhi Trần
      Nhi Trần đã đăng một câu hỏi 6 tháng 6 2021 lúc 17:19

      Giải pt lượng giác

      Nhi Trần
      Nhi Trần đã đăng một câu hỏi 5 tháng 6 2021 lúc 16:47

      Nhi Trần
      Nhi Trần đã chọn một câu trả lời của Hồng Phúc là đúng 2 tháng 6 2021 lúc 17:18
      Nhi Trần
      Nhi Trần đã chọn một câu trả lời của Hồng Phúc là đúng 2 tháng 6 2021 lúc 17:18
      Nhi Trần
      Nhi Trần đã chọn một câu trả lời của Hồng Phúc là đúng 2 tháng 6 2021 lúc 17:18
      Nhi Trần
      Nhi Trần đã chọn một câu trả lời của Hồng Phúc là đúng 2 tháng 6 2021 lúc 17:18
      Nhi Trần
      Nhi Trần đã chọn một câu trả lời của Hồng Phúc là đúng 2 tháng 6 2021 lúc 17:18
      Nhi Trần
      Nhi Trần đã chọn một câu trả lời của Hồng Phúc là đúng 2 tháng 6 2021 lúc 17:18
      Nhi Trần
      Nhi Trần đã đăng một câu hỏi 2 tháng 6 2021 lúc 17:10

      Trước Sau
      • 1
      • …
      • 22
      • 23
      • 24
      • …
      • 29

      Công ty cổ phần BINGGROUP © 2014 - 2026

      Liên hệ: Hà Đức Thọ - Hotline: 0986 557 525

      Kết nối:

      Tải ứng dụng Hoc24

      Tải ứng dụng Hoc24 trên Google Play Tải ứng dụng Hoc24 trên App Store