HOC24
Lớp học
Môn học
Chủ đề / Chương
Bài học
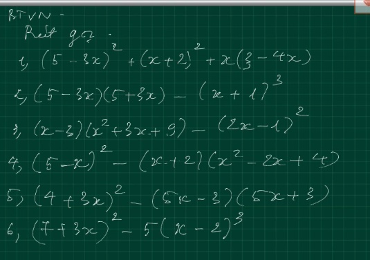
rút gọn biểu thức \(\left(5-x\right)^2-\left(x+2\right)\left(x^2-2x+4\right)\)
rút gọn biểu thức \(\left(x-3\right)\left(x^2+3x+9\right)-\left(2x-1\right)^2\)
rút gọn biểu thức \(\left(5-3x\right)\left(5+3x\right)-\left(x+1\right)^3\)
rút gọn biểu thức \(\left(5-3x\right)^2+\left(x+2\right)^2+x\left(3-4x\right)\)
giúp mik vs