HOC24
Lớp học
Môn học
Chủ đề / Chương
Bài học
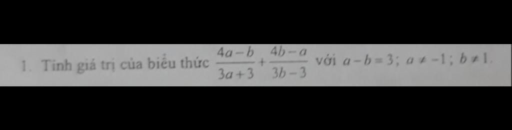
giúp em với ạ:>!!
nèk
how are you today :0 Point out some words that pronounce s and z, make sentences with them
Hình bn tự vẽ nha
Vì Ox, Oy là 2 tia đối nhau
Nên xOy=180*( góc bẹt)
Ta có: xOt+tOy=xOy=180*
=> xOt=180*-90*
=> xOt= 90*
Vì Ov là tia phân giác của góc xOt
=> tOv=vOx=xOt2=90độ2=45độxOt2=90độ2=45độ
=> Tia Ox nằm giữa 2 tia Ov và Oz
nên vOx +xOz=vOz
45*+135*=vOz
=> vOz=180*
b/ Vì Ox và Oy là 2 tia đối nhau nên
Ov và Oz là 2 tia đối nhau
Vậy xOv và zOy là 2 góc đối đỉnh
giúp em nhé mn