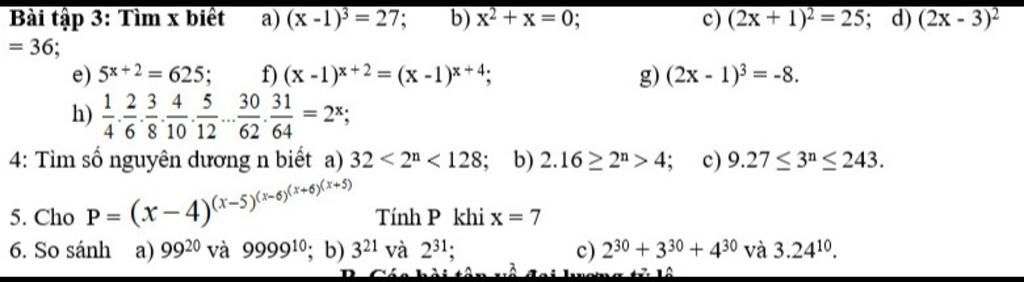
Câu trả lời:
my first visit to the cinema was a very unhappy one. I was taken there by some friends when i was only seven years old. as first there were bright lights and music and i felt quite happy. wwhen the lights went out, i felt afraid. then i saw a train on the screen. the train was coming towards me. i shouted to laugh. i felt ashamed and sat back inmy seat.i was very glad when the film ended
