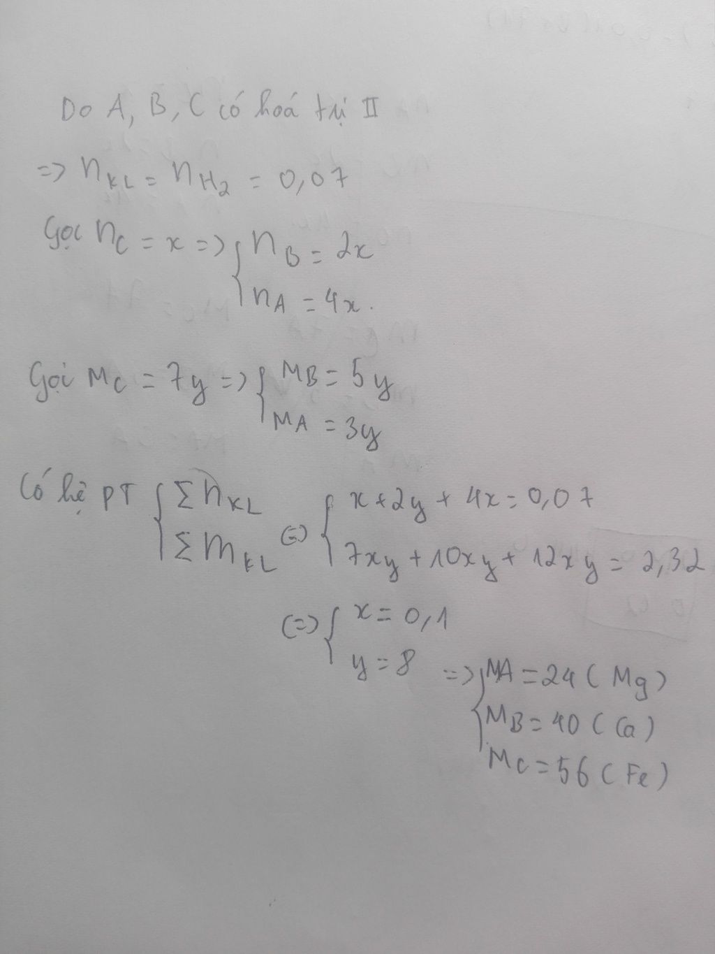
Một hỗn hợp gồm 3 kim loại A, B, C được trộn lẫn với nhau theo tỷ lệ về số nguyên tử là 4: 2: 1, nguyên tử khối của chúng tỷ lệ với nhau 3: 5: 7. Lấy 2,32 gam hỗn hợp đó cho tác dụng với axit HCl có dư thì thu được 1,568 lit H2 (ở đktc). Xác định A, B, C biết rằng chúng đều có hoá trị (II) trong muối clorua tạo thành.
